I Comuni interessati – di cui 49 abruzzesi, 10 molisani e uno laziale – il 27 febbraio scorso avevano chiesto e ottenuto un incontro con il Presidente Luciano D’Alfonso per illustrargli la vicenda, che nasce dall’approvazione della legge n. 228 del 2012 (art. 1, comma 137).
Richiesta dal Presidente di un parere sull’argomento, il 14 aprile scorso l’Avvocatura regionale ha specificato che la suddetta norma si applica dal 1° gennaio 2013 a “tutti gli impianti di produzione superiori a 220 kW di potenza nominale media, le cui opere di presa ricadano in tutto o in parte nei territori dei Comuni compresi in un bacino imbrifero montano già delimitato”, dando così il via alla richiesta di corresponsione dei canoni.
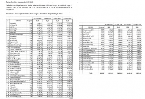
Il servizio Gestione e qualità delle acque della Regione Abruzzo ha quindi inviato all’Acea la diffida per il pagamento di quanto dovuto per le annualità 2013 (910.841,40 euro), 2014 (941.822,40 euro), 2015 (941.822,40 euro) e 2016 (942.751,83 euro), per un totale di 3.737.238,03 euro.
“Ho accolto con attenzione – ha commentato D’Alfonso – l’appello che è giunto dalla comunità interessata da questa vicenda, una comunità che non è quella di Fontamara e che quindi reclama quanto le è dovuto secondo un preciso e puntuale dettato di legge. Chi utilizza le nostre risorse naturali deve partecipare alla promozione del progresso economico e sociale delle popolazioni presso le quali si serve”.



